Assalamu‘alaikum wr. wb.
Halo gais, Kembali lagi bersama Inzaghi's Blog! Jika sebelumnya, sudah membahas tentang Metode Numerik beserta dengan Perbandingan Numerik dan Analitik, sekarang kita akan membahas tentang Deret Taylor dan Maclaurin. Deret Taylor dan Maclaurin merupakan bagian dari penerapan Matematika Kalkulus yang tidak dapat diselesaikan dalam bentuk Analitik. Mari kita bahas sampai tuntas.
MATERI
Sumber Materi : Jagostat.com dan M4th-lab.net
A. Pengertian dan Rumus Umum
1. Deret Taylor
Deret Taylor dan deret MacLaurin adalah topik yang menarik untuk dipelajari kalkulus. Kami membahas di sini kedua deret secara rinci dan memberikan contoh aplikasi. Namun sebelum itu, saya sarankan Anda terlebih dahulu memahami apa itu deret pangkat.
Misalnya terdapat fungsi f(x), maka Deret Taylor dari fungsi f(x) ini dapat dirumuskan sebagai berikut :
2. Deret MacLaurin
Jika a=0, atau Deret Taylor dengan x di sekitar 0 (x=0), maka deret yang dihasilkan disebut Deret Maclaurin. Oleh karena itu, Deret Maclaurin merupakan kasus khusus Deret Taylor, yang fungsinya meluas pada a=0. Kita tuliskan deret Maclaurin dalam formula berikut :
Sebelum beralih ke contoh soal, ada baiknya kita memahami dari mana rumus Taylor berasal. Mari kita mulai dengan mengasumsikan fungsi f(x). Bisakah fungsi f(x) ini diperluas menjadi deret pangkat dalam x atau x−a? Atau secara lebih spesifik, adakah bilangan-bilangan c0, c1, c2, c3, … sehingga :
Andaikan bilangan-bilangan tersebut ada, maka menurut Teorema Turunan (Diferensial), kita peroleh hasil berikut :
Apabila kita substitusikan x=a dan menghitung cn, kita peroleh :
Atau secara lebih umum, dapat dituliskan sebagai :
Hasil yang kita peroleh di atas dapat dinyatakan dalam Teorema berikut :
Teorema A
Andaikan f(x) dapat diekspansi menjadi :
Untuk semua x dalam suatu selang sekitar a. Maka, kita peroleh :
Bentuk koefisien cn mengingatkan kita pada koefisien yang termasuk dalam Rumus Taylor. Oleh karena ini, deret pangkat dari (x−a) yang menjelaskan fungsi tersebut disebut Deret Taylor. Apabila a=0, deret yang dimaksud disebut deret Maclaurin.
B. Kekonvergenan Deret Taylor
Terlepas dari uraian panjang di atas, masih ada beberapa pertanyaan yang belum terjawab. Artinya, jika kita mengetahui fungsi f, dapatkah kita menggambarkannya sebagai deret pangkat dalam x–a (yang tentunya adalah deret Taylor)? Jawabannya ada di kalimat selanjutnya.
Teorema B : Rumus Taylor dengan Sisa
Andaikan f sebuah fungsi yang mana turunan ke-(n+1) yaitu fn+1(x) ada untuk setiap x dalam interval terbuka I yang mengandung a. Maka, untuk setiap x dalam I,
Di mana sisa (atau error) Rn(x) diberikan oleh rumus :
Dan c adalah titik antara x dan a (c is some point between x and a).
Teorema C : Teorema Taylor
Andaikan f sebuah fungsi yang memiliki turunan dari semua tingkatan dalam suatu selang (a−r, a+r). Syarat yang perlu dan cukup agar Deret Taylor.
Menggambarkan fungsi f pada selang itu, ialah :
Dengan Rn(x) suku sisa dalam Rumus Taylor, yaitu :
Dengan c suatu bilangan dalam selang (a−r, a+r).
Perhatikan kembali Rumus Taylor pada Teorema B, yaitu :
Apabila a=0, kita peroleh deret Maclaurin, yakni :
Teorema D : Deret Binomial
Untuk tiap bilangan riil ρ dan |x|<1 berlaku :
dengan
Apabila ρ bulat positif, maka (ρk) =0 untuk k>p, sehingga deret takterhingga itu menjadi sebuah deret suku-suku terhingga. Dalam hal ini deret menjadi suku banyak seperti tercantum dalam Rumus Binomial.
C. Contoh Soal Deret Taylor
1. Tentukan deret Maclaurin untuk sin(x) dan buktikan bahwa deret itu menggambarkan sin(x) untuk semua x.
Pembahasan :
Sehingga,
Tetapi
untuk semua x, karena
merupakan deret konvergen suku ke-n. Akibatnya, kita lihat bahwa
.
2. Tentukan deret Maclaurin untuk cos(x) dan buktikan bahwa uraian deret itu berlaku untuk semua x.
Pembahasan :
Kita dapat menggunakan cara yang kita pakai dalam Contoh 1. Tetapi cara yang lebih mudah ialah menurunkan uraian deret dalam Contoh 1, kita peroleh :
3. Tentukan deret Maclaurin untuk f(x) = cosh(x) dengan dua cara, dan buktikan bahwa uraian itu menggambarkan cosh(x) untuk semua x.
Pembahasan :
Metode Pertama adalah metode langsung.
Sehingga,
Apabila kita dapat membuktikan bahwa
untuk semua x.
Metode Kedua adalah, menggunakan hubungan :
Dari pembahasan pada bagian sebelumnya, kita peroleh :
Dengan menjumlahkan 2 (Dua) Deret ini, kita peroleh deret pangkat untuk cosh(x), setelah jumlah tersebut dibagi dengan 2.
4. Tulislah
sebagai suatu deret Maclaurin pada selang −1<x<1.
Pembahasan :
Sehingga,
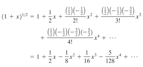
5. Tuliskan
sebagai suatu deret Maclaurin dan gunakan hasil ini untuk mengaproksimasi (menghampiri)
sampai 5 angka desimal.
Pembahasan :
Kita peroleh dengan menggunakan Teorema D.
Jadi,
D. Deret Maclaurin
Deret Maclaurin yang Penting adalah :
E. Contoh Soal Deret Maclaurin
1. Uraikan sin(x) dan cos(x) dalam deret MacLaurin
Pembahasan :
Kita tentukan dulu turunan dari sin(x) sebagai berikut :
Deret MacLaurin sin(x) adalah :
Dengan cara yang sama kita peroleh deret MacLaurin dari cos (x) sebagai berikut :
VIDEO
Untuk memahami lebih lanjut terkait dengan Deret Taylor dan Maclaurin, lihatlah Video-video YouTube di bawah ini.
Dan juga Video ini untuk membuat Deret Taylor menggunakan Excel :
Semoga bermanfaat bagi semua Mahasiswa Teknik yang mengambil Mata Kuliah Metode Numerik.
Terima Kasih 😄😘👌👍 :)
Wassalamu‘alaikum wr. wb.

